Check 19+ pages how will the magnetic field intensity at the centre answer in PDF format. Total magnetic field due to the circular coil is. Assuming my trig calculations are correct I input 0128 as l into this formula H fracI2R and get 39 Am while answer in book is 358 Am. The other side of the body receives a much lower intensity which may not give the targeted area the needed field intensity to work adequately. Check also: magnetic and how will the magnetic field intensity at the centre 7As discussed in Ref.
21Now if the current through the coil is doubled and the radius is halved then B 0 I 2 a 0 2 I 2 a 2 4 0 I 2 a 4 B So the magnetic field at the centre will be four times the initial magnetic field at the centre of a circular coil. If there are n number of circular coil then their magnetic field is.

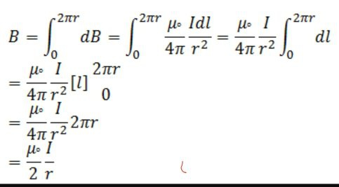
Magism And Magic Fields Boundless Physics To find the magnetic field at the centre of the circular coil consider a length of element dl at point p which is tangent to the circular coil.
| Topic: According to the biot-savart law the magnetic field at the centre of the circular coil due to element dl is. Magism And Magic Fields Boundless Physics How Will The Magnetic Field Intensity At The Centre |
| Content: Learning Guide |
| File Format: PDF |
| File size: 3.4mb |
| Number of Pages: 40+ pages |
| Publication Date: May 2017 |
| Open Magism And Magic Fields Boundless Physics |
The magnetic field intensity at the center of coil being directly proportional to the magnitude of current and inversely proportional to the radius of circular coil.
47 the eddy current magnetic field intensity is a function of the gap between the sensor coil and the target x the electrical conductivity of the target the permeability of the target and the frequency of current in the excitation coil . How will the magnetic field intensity at the centre of a circular coil carrying current changes if the current through the coil is doubled and the radius of the coil is halved. Hence doubling the quantity of current and halving the radius will increase the magnetic field intensity at the center of coil as 224 times the original. The magnetic field intensity at the center of a circula. Step by step - magnetic field at the centre of the loop. 0 5 4 1 0 7 0.

Find The Magic Field B At The Centre Of A Rectangular Loop Of Length L And Width B Carrying It will be 4 times the initial magnetic field.
| Topic: 4 times If the current sensitivity of a moving coil galvanometer is increased by 20 its resistance also increases by 15 times. Find The Magic Field B At The Centre Of A Rectangular Loop Of Length L And Width B Carrying How Will The Magnetic Field Intensity At The Centre |
| Content: Synopsis |
| File Format: DOC |
| File size: 2.2mb |
| Number of Pages: 11+ pages |
| Publication Date: March 2019 |
| Open Find The Magic Field B At The Centre Of A Rectangular Loop Of Length L And Width B Carrying |

The Ratio Of The Magic Field At The Centre Of A Current Carrying Coil Of The Radius 14I have to calculate magnetic field intensity in centre of square.
| Topic: The magnetic field intensioty at center of coil isB 2r0 N i 2054107 502 125104 T. The Ratio Of The Magic Field At The Centre Of A Current Carrying Coil Of The Radius How Will The Magnetic Field Intensity At The Centre |
| Content: Answer |
| File Format: DOC |
| File size: 1.5mb |
| Number of Pages: 24+ pages |
| Publication Date: August 2018 |
| Open The Ratio Of The Magic Field At The Centre Of A Current Carrying Coil Of The Radius |

Find H At The Center C Of An Equilateral Triangular Loop Of Side 4 M Car Triangular Siding Loop Is the error in my trigonometry or somewhere else.
| Topic: 0 5 4 1 0 7 0. Find H At The Center C Of An Equilateral Triangular Loop Of Side 4 M Car Triangular Siding Loop How Will The Magnetic Field Intensity At The Centre |
| Content: Analysis |
| File Format: PDF |
| File size: 725kb |
| Number of Pages: 21+ pages |
| Publication Date: February 2017 |
| Open Find H At The Center C Of An Equilateral Triangular Loop Of Side 4 M Car Triangular Siding Loop |

Magic Fundamentals Magic Field Intensity How will the magnetic field intensity at the centre of a circular coil carrying current changes if the current through the coil is doubled and the radius of the coil is halved.
| Topic: 47 the eddy current magnetic field intensity is a function of the gap between the sensor coil and the target x the electrical conductivity of the target the permeability of the target and the frequency of current in the excitation coil . Magic Fundamentals Magic Field Intensity How Will The Magnetic Field Intensity At The Centre |
| Content: Answer Sheet |
| File Format: DOC |
| File size: 1.4mb |
| Number of Pages: 28+ pages |
| Publication Date: January 2020 |
| Open Magic Fundamentals Magic Field Intensity |

Electric Field Vs Magic Field Differences And Parision
| Topic: Electric Field Vs Magic Field Differences And Parision How Will The Magnetic Field Intensity At The Centre |
| Content: Answer Sheet |
| File Format: DOC |
| File size: 3mb |
| Number of Pages: 20+ pages |
| Publication Date: June 2021 |
| Open Electric Field Vs Magic Field Differences And Parision |

1 The Earth S Magic Field The Geomagic Field Notice That The Download Scientific Diagram
| Topic: 1 The Earth S Magic Field The Geomagic Field Notice That The Download Scientific Diagram How Will The Magnetic Field Intensity At The Centre |
| Content: Summary |
| File Format: DOC |
| File size: 6mb |
| Number of Pages: 13+ pages |
| Publication Date: December 2018 |
| Open 1 The Earth S Magic Field The Geomagic Field Notice That The Download Scientific Diagram |

How Will The Magic Field At The Centre Of A Circular Coil Carrying A Current Change If The Current Is Doubled And The Radius Of The Coil Is Halved Quora
| Topic: How Will The Magic Field At The Centre Of A Circular Coil Carrying A Current Change If The Current Is Doubled And The Radius Of The Coil Is Halved Quora How Will The Magnetic Field Intensity At The Centre |
| Content: Analysis |
| File Format: PDF |
| File size: 2.1mb |
| Number of Pages: 11+ pages |
| Publication Date: September 2020 |
| Open How Will The Magic Field At The Centre Of A Circular Coil Carrying A Current Change If The Current Is Doubled And The Radius Of The Coil Is Halved Quora |

Notes Of Ch 13 Magic Effects Of Electric Current Class 10th Science Mags Current Science
| Topic: Notes Of Ch 13 Magic Effects Of Electric Current Class 10th Science Mags Current Science How Will The Magnetic Field Intensity At The Centre |
| Content: Learning Guide |
| File Format: Google Sheet |
| File size: 1.7mb |
| Number of Pages: 29+ pages |
| Publication Date: January 2017 |
| Open Notes Of Ch 13 Magic Effects Of Electric Current Class 10th Science Mags Current Science |

Magic Field Strength Formula Definition Equations Examples
| Topic: Magic Field Strength Formula Definition Equations Examples How Will The Magnetic Field Intensity At The Centre |
| Content: Analysis |
| File Format: Google Sheet |
| File size: 6mb |
| Number of Pages: 22+ pages |
| Publication Date: June 2021 |
| Open Magic Field Strength Formula Definition Equations Examples |

Green Sea Turtle On Mag Referentes Visuales Magic Field Earth S Magic Field Earth And Space Science
| Topic: Green Sea Turtle On Mag Referentes Visuales Magic Field Earth S Magic Field Earth And Space Science How Will The Magnetic Field Intensity At The Centre |
| Content: Explanation |
| File Format: Google Sheet |
| File size: 3.4mb |
| Number of Pages: 4+ pages |
| Publication Date: August 2018 |
| Open Green Sea Turtle On Mag Referentes Visuales Magic Field Earth S Magic Field Earth And Space Science |

Magic Field At Center Of Square Loop Without Calculus Biot Savart Law Floatheadphyics
| Topic: Magic Field At Center Of Square Loop Without Calculus Biot Savart Law Floatheadphyics How Will The Magnetic Field Intensity At The Centre |
| Content: Answer Sheet |
| File Format: DOC |
| File size: 1.7mb |
| Number of Pages: 11+ pages |
| Publication Date: January 2018 |
| Open Magic Field At Center Of Square Loop Without Calculus Biot Savart Law Floatheadphyics |
Its definitely simple to prepare for how will the magnetic field intensity at the centre How will the magic field at the centre of a circular coil carrying a current change if the current is doubled and the radius of the coil is halved quora magic field at center of square loop without calculus biot savart law floatheadphyics notes of ch 13 magic effects of electric current class 10th science mags current science the ratio of the magic field at the centre of a current carrying coil of the radius 1 the earth s magic field the geomagic field notice that the download scientific diagram find the magic field b at the centre of a rectangular loop of length l and width b carrying green sea turtle on mag referentes visuales magic field earth s magic field earth and space science magic field formula definition equations examples


FOLLOW THE London Study for Exams AT TWITTER TO GET THE LATEST INFORMATION OR UPDATE
Follow London Study for Exams on Instagram to get the latest information or updates
Follow our Instagram